Зелёный сад

Всё для дачи и сада

Устойчивое производство сахара: новые подходы и технологии

25.10.2024 в 10:44

Устойчивое производство сахара: новые подходы и технологии

Производство сахара является одним из важнейших секторов пищевой промышленности. Однако традиционные методы производства сахара могут оказывать негативное влияние на окружающую среду, в частности, вызывая загрязнение воды и воздуха. В связи с этим, сегодня актуальными становятся новые подходы и технологии устойчивого производства сахара.

Устойчивое производство сахара: основные принципы

Устойчивое производство сахара основывается на следующих принципах:

  • Экологическая безопасность: производство сахара должно быть направлено на минимизацию воздействия на окружающую среду, в частности, на сокращение выбросов загрязняющих веществ и энергопотребления.
  • Экономическая эффективность: производство сахара должно быть направлено на максимизацию экономической эффективности, в частности, на сокращение затрат на производство и увеличение производительности.
  • Социальная ответственность: производство сахара должно быть направлено на улучшение условий труда и социальной защиты работников, а также на поддержку местных сообществ и их развития.

Новые технологии устойчивого производства сахара

Сегодня используются различные технологии устойчивого производства сахара, которые направлены на сокращение воздействия на окружающую среду и увеличение экономической эффективности. Некоторые из них:

Технология сухого отжима сахарной свеклы

Технология сухого отжима сахарной свеклы позволяет сократить потребление воды на 80-90% по сравнению с традиционными методами производства сахара. Это достигается за счет использования специальных прессов, которые отжимают сахарную свеклу без использования воды. Также эта технология позволяет увеличить производительность и снизить энергопотребление.

Технология производства экологически чистого сахара

Технология производства экологически чистого сахара направлена на сокращение загрязнения воды и воздуха. Это достигается за счет использования специальных фильтров и очистных сооружений, которые очищают сточные воды и выхлопные газы. Также эта технология позволяет сократить потребление энергии на 30-40% по сравнению с традиционными методами производства сахара.

Технология производства биоэтанола из сахарной свеклы

Технология производства биоэтанола из сахарной свеклы позволяет использовать сахарную свеклу не только для производства сахара, но и для получения экологически чистого топлива. Это достигается за счет переработки сахарной свеклы в биоэтанол, который может быть использован в качестве топлива для автомобилей и других транспортных средств. Также эта технология позволяет сократить потребление нефти и снизить выбросы парниковых газов.

Заключение

Устойчивое производство сахара является актуальным и важным направлением для пищевой промышленности. Новые технологии и подходы, такие как технология сухого отжима сахарной свеклы, технология производства экологически чистого сахара и технология производства биоэтанола из сахарной свеклы, позволяют сократить воздействие на окружающую среду, увеличить экономическую эффективность и улучшить условия труда и социальную защиту работников. Важно продолжать исследования и внедрение новых технологий для достижения устойчивого производства сахара.

Связанные вопросы и ответы:

Вопрос 1: Какие факторы влияют на стабильность производства сахара в новой экономике

Ответ: В новой экономике стабильность производства сахара зависит от многих факторов, таких как технологический прогресс, изменение климата, экономическая ситуация и спрос на сахар. Технологический прогресс может привести к улучшению эффективности производства, снижению затрат и повышению качества продукции. Изменение климата может повлиять на урожай сахарного тростника или сахарной свёклы, что в свою очередь повлияет на объёмы производства сахара. Экономическая ситуация и спрос на сахар также могут повлиять на стабильность производства, поскольку они определяют цену на сахар и, соответственно, прибыльность производства.

Вопрос 2: Какие технологии используются для стабилизации производства сахара

Ответ: Для стабилизации производства сахара используются различные технологии, такие как автоматизация и механизация процессов, улучшение сортов сахарного тростника или сахарной свёклы, оптимизация использования воды и удобрений, а также внедрение экологически чистых технологий. Автоматизация и механизация процессов позволяют повысить эффективность производства, снизить затраты и улучшить качество продукции. Улучшение сортов сахарного тростника или сахарной свёклы позволяет увеличить урожайность и устойчивость к неблагоприятным условиям. Оптимизация использования воды и удобрений помогает снизить экологический footprint и сделать производство более устойчивым.

Вопрос 3: Как изменение климата может повлиять на стабильность производства сахара

Ответ: Изменение климата может оказать значительное влияние на стабильность производства сахара. Увеличение температуры и изменение осадков могут повлиять на урожай сахарного тростника или сахарной свёклы, что в свою очередь повлияет на объёмы производства сахара. Кроме того, изменение климата может привести к более частым засухам, наводнениям и другим неблагоприятным погодным условиям, что может ухудшить урожайность и качество сахарного тростника или сахарной свёклы.

Вопрос 4: Как экономическая ситуация и спрос на сахар влияют на стабильность производства

Ответ: Экономическая ситуация и спрос на сахар могут оказать значительное влияние на стабильность производства. При благоприятной экономической ситуации и высоком спросе на сахар производители могут получать высокую прибыль, что стимулирует инвестиции в производство и улучшение технологии. Однако при неблагоприятной экономической ситуации и низком спросе на сахар производители могут столкнуться с трудностями, такими как снижение цены на сахар и убыточность производства.

Вопрос 5: Как внедрение экологически чистых технологий может помочь стабилизировать производство сахара

Ответ: Внедрение экологически чистых технологий может помочь стабилизировать производство сахара, поскольку оно позволяет снизить экологический footprint и сделать производство более устойчивым. Экологически чистые технологии могут включать в себя использование возобновляемых источников энергии, улучшение эффективности использования воды и удобрений, а также внедрение экологически чистых методов обработки сахарного тростника или сахарной свёклы.

Вопрос 6: Как улучшение сортов сахарного тростника или сахарной свёклы может помочь стабилизировать производство сахара

Ответ: Улучшение сортов сахарного тростника или сахарной свёклы может помочь стабилизировать производство сахара, поскольку оно позволяет увеличить урожайность и устойчивость к неблагоприятным условиям. Новые сорта сахарного тростника или сахарной свёклы могут быть более устойчивы к засухе, болезням и вредителям, что позволяет увеличить урожайность и улучшить качество сахарного тростника или сахарной свёклы.

Вопрос 7: Как оптимизация использования воды и удобрений может помочь стабилизировать производство сахара

Ответ: Оптимизация использования воды и удобрений может помочь стабилизировать производство сахара, поскольку она позволяет снизить экологический footprint и сделать производство более устойчивым. Оптимизация использования воды и удобрений может включать в себя использование гидропоники, улучшение эффективности использования воды и удобрений, а также внедрение экологически чистых методов обработки сахарного тростника или сахарной свёклы.

Вопрос 8: Как автоматизация и механизация процессов может помочь стабилизировать производство сахара

Ответ: Автоматизация и механизация процессов может помочь стабилизировать производство сахара, поскольку она позволяет повысить эффективность производства, снизить затраты и улучшить качество продукции. Автоматизация и механизация процессов может включать в себя использование роботизированных систем, автоматизированных систем управления и контроля, а также внедрение экологически чистых технологий.

Какие факторы влияют на стабильность производства сахара

Panfilovа Natalia Pavlovna1, Tarasov Roman Viktorovich2, Makarova Ludmila Viktorovna31Penza State University of Architecture and Construction, master of technics and technology2Penza State University of Architecture and Construction, Candidate of Technical Sciences, Associate Professor3Penza State University of Architecture and Construction, Candidate of Technical Sciences, Associate Professor

Abstract The organization of technological processes of production requires the establishment of concrete parameters of technological modes for receiving the quality production. The efficient tool of the solution of this kind of problems would be the experiment planning.

Библиографическая ссылка на статью: Панфилова Н.П., Тарасов Р.В., Макарова Л.В. Оптимизация технологических процессов производства сахара методами планирования эксперимента // Современные научные исследования и инновации. 2014. № 6. Ч. 1 . URL:(дата обращения: 25.10.2024).

Большинство научных исследований связано с экспериментом. Он может непосредственно проводиться на объекте или на его модели.

Планирование эксперимента – это процедура выбора числа и условий проведения опытов, необходимых и достаточных для решения поставленной задачи с требуемой точностью .

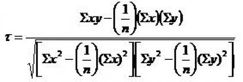
При решении задачи используются математические модели объекта исследования, т.е. уравнение, связывающее параметр оптимизации с факторами. Это уравнение в общем виде выглядит следующим образом:

Для определения связи между двумя необходимыми параметрами можно воспользоваться парной регрессией. Парная регрессия представляет собой уравнение, описывающее связь между двумя переменными: зависимой переменной и независимой переменной .

Рассмотрим примеры использования линейной и нелинейной парной регрессии для определения зависимостей между оцениваемыми показателями при производстве сахара-песка .

При производстве сахара используются диффузионные аппараты, которые имеют определенные недостатки, что не позволяет обеспечить оптимальные условия проведения процесса экстрагирования для получения максимального выхода сахара. Основными факторами , влияющими на ход процесса экстрагирования и полноту извлечения сахара из стружки, являются температурный режим, особенно в начальной стадии процесса, направление движения фаз, гидродинамика процесса, соотношение расхода масс экстрагента и стружки . Таким образом, целесообразно определить зависимость выхода сахара ( , т/смену) от температуры в диффузионном аппарате ( ,С), что позволит найти оптимальный температурный режим для максимального выхода сахара. Исходные данные представлены в таблице 1.

Таблица 1 – Результаты эксперимента

497

937

35317

127269

66743

186,8

Для установления связи между изучаемыми переменными рассчитаем коэффициент парной корреляции:

Какие факторы влияют на стабильность производства сахара. THE OPTIMIZATION OF TECHNOLOGICAL PROCESSES OF PRODUCTION OF SUGAR BY METHODS OF EXPERIMENT PLANNING

Коэффициент корреляции – это статистический показатель зависимости двух случайных величин. Коэффициент корреляции может принимать значения от -1 до +1. При этом значение -1 будет говорить об отсутствии корреляции между величинами, 0 – о нулевой корреляции, а +1 – о полной корреляции величин. Т.е., чем ближе значение коэффициента корреляции к +1, тем сильнее связь между двумя случайными величинами.

Какие факторы влияют на стабильность производства сахара. THE OPTIMIZATION OF TECHNOLOGICAL PROCESSES OF PRODUCTION OF SUGAR BY METHODS OF EXPERIMENT PLANNING

Проведем оценку значимости коэффициента парной корреляции с помощью критерия Стьюдента.

Сравним полученное значение с критическим значением t-критерия, который определяется по таблице распределения Стьюдента:

Таким образом, коэффициент корреляции значим.

Найдем выборочные коэффициенты регрессии по следующей формуле:

Какие факторы влияют на стабильность производства сахара. THE OPTIMIZATION OF TECHNOLOGICAL PROCESSES OF PRODUCTION OF SUGAR BY METHODS OF EXPERIMENT PLANNING

Уравнение регрессии имеет следующий вид (рис 1):

y =-377+7,2 x

Какие факторы влияют на стабильность производства сахара. THE OPTIMIZATION OF TECHNOLOGICAL PROCESSES OF PRODUCTION OF SUGAR BY METHODS OF EXPERIMENT PLANNING

Рисунок 1 – Зависимость выхода сахара от температуры в диффузионном аппарате

  С помощью коэффициентов можно выяснить силу влияния факторов. Чем больше величина коэффициента, тем большее влияние оказывает фактор. В данном случае коэффициент имеет знак плюс. Это означает, что с увеличением значения фактора значение параметра оптимизации увеличивается.

Для практического использования моделей регрессии большое значение имеет их адекватность, т.е. соответствие фактическим статистическим данным.

Значение дисперсии адекватности модели можно вычислить по следующей формуле:

 

Далее найдем дисперсию воспроизводимости :

Какие факторы влияют на стабильность производства сахара. THE OPTIMIZATION OF TECHNOLOGICAL PROCESSES OF PRODUCTION OF SUGAR BY METHODS OF EXPERIMENT PLANNING

Для того, чтобы проверить гипотезу об адекватности модели можно воспользоваться критерием Фишера:

На основании полученных данных можно сделать вывод, что модель адекватна.

Для выполнения нормы – 150 т/смену – температура в диффузионном аппарате должна достигать 73°С:

Какие факторы влияют на стабильность производства сахара. THE OPTIMIZATION OF TECHNOLOGICAL PROCESSES OF PRODUCTION OF SUGAR BY METHODS OF EXPERIMENT PLANNING

На практике для получения 150 т сахара в смену температура в аппарате должна быть в пределах 72–74°С.

Какие технологии используются для стабильного производства сахара

Родиной сахара является Индия, но по его производству ее обошла Бразилия, где сейчас ведется активная добыча сахарного тростника. В Европе и России также есть свои заводы, наполняя рынок продуктом собственного производства. Если взять гранулированный, он делится на несколько видов:

  • обычный – для тортов и домашней выпечки;
  • пекарский отличается более мелкими кристаллами;
  • фруктовый используется для приготовления десертов и пудингов;
  • обсыпка отличается крупными кристаллами, им часто украшают выпечку;
  • пудра с микроскопическими гранулами, идет в виде порошка.

Технология производства сахара состоит из нескольких этапов. Это очистка сырья, последующая фильтрация (может выполняться несколько раз) и дальнейшая переработка. Производство осуществляется на заводах, где установлено специальное оборудование. Оно удаляет грязь, ботву, очищает сырье от ненужных примесей. Конечный продукт проходит тщательную проверку на качество.

Есть несколько способов производства, их основные параметры совпадают, но есть и некоторые различия. Самое популярное сырье – свекла (буряк), тростник и молочная сыворотка. При производстве большое значение имеет тщательная очистка от примесей. Их присутствие указывает на некачественный продукт или нарушение технологии.

Суть обработки состоит в отделении сока. Остальное сырье идет на корм скоту, в нем остается достаточно питательных веществ, поэтому жмых еще и полезен для животных, его дают в качестве подкормки. Сок получают при длительном томлении, но для предотвращения появления грибка нарезанный буряк смешивают с формалином, перекисью водорода или хлорной известью.

Чтобы убрать желтоватый цвет продукта, применяется отбеливание, которое помогает одновременно удалить оставшиеся примеси. Для этого чаще используют ионообменные смолы. Для первого этапа фильтрации часто используются угли из говяжьих костей. Они очищают сырье не только от примесей, но и окрашивающие компоненты.

Из свеклы

Получение свекловичного продукта – многоэтапное производство. Очень важна тщательная очистка корнеплодов, а потом процессу фильтрации. В России производят и цветной сахар, но его срок годности небольшой. Осенью в качестве сырья используют свеклу, в остальное время года – сахарный тростник. Стандартная технология производства состоит из нескольких этапов:

Сахар - это один из самых распространенных сладких веществ, используемых в пищевой промышленности. Родиной сахара является Индия, но по его производству ее обошла Бразилия, где сейчас ведется активная добыча сахарного тростника. В Европе и России также есть свои заводы, наполняющие рынок продуктом собственного производства.

Технология производства сахара

Технология производства сахара состоит из нескольких этапов:

  • Очистка сырья: это первый этап производства, на котором удаляется грязь, ботва, очищается сырье от ненужных примесей.
  • Фильтрация: это процесс, который может выполняться несколько раз, чтобы удалить все примеси из сырья.
  • Переработка: это последний этап производства, на котором полученный продукт проходит тщательную проверку на качество.

Производство сахара осуществляется на заводах, где установлено специальное оборудование, которое удаляет грязь, ботву, очищает сырье от ненужных примесей.

Сырье для производства сахара

Основные сырье для производства сахара - это:

  • Свекла (буряк)
  • Тростник
  • Молочная сыворотка

Важно, чтобы сырье было очищено от примесей, потому что их присутствие указывает на некачественный продукт или нарушение технологии.

Обработка сырья

Обработка сырья состоит в отделении сока. Остальное сырье идет на корм скоту, в котором остается достаточно питательных веществ, поэтому жмых еще и полезен для животных, его дают в качестве подкормки.

Сок получают при длительном томлении, но для предотвращения появления грибка нарезанный буряк смешивают с формалином, перекисью водорода или хлорной известью.

Отбеливание

Для убрать желтоватый цвет продукта применяется отбеливание, которое помогает одновременно удалить оставшиеся примеси. Для этого часто используют ионообменные смолы.

Для первого этапа фильтрации часто используются угли из говяжьих костей. Они очищают сырье не только от примесей, но и окрашивающие компоненты.

  1. Первичная очистка сырья – отмывание сахарной свеклы от грязи и земли. Для этого ее высыпают в бункеры. Автоматическая система перемывает свеклу тоннами, удаляя камни, прилипшую растительность, песок, землю и ботву.
  2. Нарезка корнеплодов. После очищения они поступают в агрегат для нарезания свеклы. На выходе получается большое количество тонкой, гладкой стружки. Это облегчает дальнейшую обработку. Также от качества стружки зависит последующее полноценное извлечение сахара.
  3. Отжим сырья. Нарезка поступает в диффузную колонну. В ней циркулирует вода, нагретая до нужной температуры. В диффузную колонну не должен попадать воздух. Это помогает извлечь темный сок, который на 13 % состоит из сахара. Оставшийся жмых отправляют на корм скоту.
  4. Очистка сока. Он скапливается внизу колонны и содержит много разных примесей. Очистку проводят с помощью извести и углекислого газа. Примеси выпадают с ними в виде осадка, который удаляют. Остается светло-желтый сок, который осветляют оксидом серы.
  5. Сгущение жидкости. Выпаривают лишнюю влагу до получения сахарного сиропа. В нем содержание сахара уже 60-75 %.
  6. Кристаллизация. Ее проводят в вакуумных установках. В результате получают желтый порошок – утфель. Его пропускают через центрифугу, на стенках которой собираются кристаллы сахара. Остальное удаляется в отходы.
  7. Сушка. Полученные кристаллы сахара еще влажные. Поэтому их сушат в специальной установке, под горячим воздухом. Потом снижают температуру до комнатной.

Как новые технологии влияют на стабильность производства сахара

Термостабильный сахар является важным ингредиентом в пищевой промышленности, который обладает способностью сохранять свои свойства при высоких температурах. Процесс его производства основан на научных основах, и позволяет достичь высокой степени термостабильности. В данной статье мы более пристально рассмотрим процесс производства термостабильного сахара и его научные основы.

Важность термостабильного сахара в пищевой промышленности

В пищевой промышленности термостабильный сахар играет важную роль, поскольку он обеспечивает стабильность и качество продуктов при их термической обработке. Благодаря способности сохранять свои свойства при высоких температурах, термостабильный сахар позволяет производителям достичь желаемого вкуса, текстуры и консистенции продуктов. Он часто применяется в производстве сладостей, кондитерских изделий, мороженого и других продуктов, где высокая температура является неотъемлемой частью процесса.

Процесс производства термостабильного сахара

Процесс производства термостабильного сахара включает в себя несколько этапов, каждый из которых играет важную роль в достижении высокой степени термостабильности. Начиная с выбора сырья и его обработки, процесс включает в себя такие этапы, как кристаллизация, обработка с использованием специальных ферментов и технологий, а также фильтрация и сушка. Все эти этапы выполняются с использованием современного оборудования и с соблюдением строгих стандартов качества.

Понимание научных основ термостабильности

Термостабильность сахара зависит от его молекулярной структуры и взаимодействия с другими компонентами продукта. Научные исследования позволяют понять, какие факторы влияют на стабильность сахара при высоких температурах и как можно оптимизировать процесс его производства. Одним из ключевых факторов является процесс кристаллизации, который определяет размер и форму кристаллов сахара. Также важным фактором является взаимодействие сахара с другими ингредиентами продукта, такими как жир и влага. Изучение этих научных основ позволяет разработать более эффективные технологии производства термостабильного сахара.

Факторы, влияющие на термостабильность сахара

Влияние различных факторов на термостабильность сахара является важным аспектом его производства. Одним из ключевых факторов является содержание влаги в продукте, поскольку влага может способствовать разрушению структуры сахара при высоких температурах. Также важным фактором является pH-значение продукта, поскольку оно может влиять на стабильность сахара. Другими факторами, влияющими на термостабильность, являются содержание жира, наличие ферментов и использование специальных технологий обработки. Изучение и оптимизация этих факторов позволяют достичь высокой степени термостабильности сахара.

Применение термостабильного сахара в различных продуктах питания

Термостабильный сахар нашел широкое применение в различных продуктах питания благодаря своей способности сохранять свои свойства при высоких температурах. Он используется в производстве кондитерских изделий, печенья, кексов, пирожных и других сладостей, где высокая температура является неотъемлемой частью процесса приготовления. Также термостабильный сахар используется в производстве мороженого, где высокая температура используется для обработки и формирования продукта. Его применение позволяет достичь желаемой текстуры, консистенции и вкуса продуктов.

Преимущества и польза от использования термостабильного сахара

Использование термостабильного сахара в пищевой промышленности имеет ряд преимуществ и пользы. Во-первых, он позволяет производителям достичь высокой степени термостабильности продукта, что обеспечивает его стабильность и качество при высоких температурах. Это позволяет сохранить вкус, текстуру и консистенцию продукта даже после его термической обработки. Во-вторых, использование термостабильного сахара позволяет производителям сократить затраты на качественный контроль продукции, так как его высокая степень термостабильности позволяет снизить вероятность дефектов и брака. Кроме того, термостабильный сахар обладает длительным сроком хранения, что позволяет производителям экономить на складских расходах и обеспечивать стабильное качество продукции.

Методы контроля качества и испытаний термостабильного сахара

Контроль качества и испытания термостабильного сахара являются важной частью его производства. Для этого используются различные методы, такие как визуальный контроль, измерение температуры, хроматография и другие аналитические методы. Визуальный контроль позволяет определить цвет, форму и размер кристаллов сахара, что является важным показателем его качества и стабильности. Измерение температуры позволяет определить точку плавления и деформацию кристаллов при нагреве, что также является важным показателем термостабильности. Хроматография и другие аналитические методы позволяют определить содержание и качество сахара, что помогает контролировать его производство и обеспечивать высокое качество продукции.

Какие преимущества имеет стабильное производство сахара

Рекордному производству сахара в текущем сезоне способствовал ряд факторов. Во-первых, несмотря на призывы властей сокращать посевы сахарной свеклы, в 2019 году они опять выросли — до 1,14 млн га, что стало вторым после рекорда 2017 года показателем. Во-вторых, погода на протяжении всего периода роста агрокультуры благоприятствовала ему практически во всех свеклосеющих регионах. В результате урожайность ниже 2018 года отмечалась только в двух регионах — Брянской области и Карачаево-Черкесии, а валовой сбор получился меньше лишь в Брянской и Волгоградской областях, рассказывает Иванов. На середину декабря прошлого года, согласно информации Минсельхоза, в целом по стране было накопано более 53 млн т.

Темп уборки-2019 отставал от предыдущего года с конца августа по конец сентября в связи с более высокой урожайностью свеклы. Для минимизации потерь хранения производители выкапывали столько, сколько могли переработать заводы, с учетом минимальных запасов на один-два дня работы. Хозяйства и заводы начали формировать запасы на длительное хранение только с последних чисел сентября — начала октября (кроме Юга, где работали с колес до середины октября), знает эксперт ИКАР . Такая стратегия действительно позволяет сократить потери хранения, повысить урожайность, но и увеличивает риски неуборки оставшихся площадей из-за неблагоприятной погоды. «Только призаводские остатки сырья дадут возможность работать до конца февраля 2020 года как минимум одному заводу — Хохольскому (Воронежская область, входит в „ Продимекс “), а благодаря полевому хранению свеклы могут продолжить переработку до марта Черемновский (Алтайский край, „ Доминант “), Кирсановский (Тамбовская область, ГК „АСБ“) и другие», — говорил Иванов в середине февраля. До июля на сиропе будет работать Добринский сахарный завод (Липецкая область, « Сюкден »), на мелассе — Ольховатский (Воронежская область, « Продимекс »), Знаменский и Чернянский (Тамбовская и Белгородская области, оба принадлежат « Русагро »).

Как можно улучшить стабильность производства сахара

Сахар, как можно понять, производится в сахарных заводах. В настоящее время в России имеется около 70 предприятий, которые занимаются переработкой сахарной свеклы.

Производство сахара из свеклы

Чтобы получить качественный продукт, заводы тщательно отбирают свекла. После отбора, сырье проходит через предварительную очистку и фильтрацию. Процесс выделения сахара из свеклы можно разделить на следующие этапы:

  • обязательная очистка сырья, при котором с плодов смывают тяжелые и легкие примеси;
  • нарезка в стружку, после которого плоды легче всего поддаются переработке;
  • отжим, при котором специальный аппарат отжимает из стружки свекловичный сок с 13% содержанием сахара;
  • очистка сока при помощи углекислого газа и извести, в результате чего получается жидкость светло-желтого цвета;
  • сгущение, в ходе которого выпаривается лишняя жидкость и получается сироп с 60–75% содержанием сахара;
  • кристаллизация сахара в вакуум-установках, конечным продуктом чего является утфель – масса, состоящая из кристаллов сахарозы;
  • последующая обработка, в ходе которого утфель помещается в центрифугу для производства сахара более высокого качества.

При производстве сахара, помимо кристаллизованного продукта, остаются побочные вещества: меласса, жом и фильтрационный осадок. Меласса с 50% содержанием сахара используется для производства спирта, лимонной кислоты и корма для животных. Из фильтрационного сока производятся удобрения, а жом уходит на изготовление кормов.

Как можно избежать нестабильности в производстве сахара. Как производится сахар?

Чаще всего сахар в России производится из свеклы

Производство сахара из тростника

Технология производства сахара из тростника такая же, как и в примере со свеклой. Разница заключается лишь в том, что процесс очистки и измельчения происходит гораздо легче. Одним из побочных продуктов, помимо мелассы и фильтрационного сока, является багасса. Это клетчатка с 0,7-0,8% содержанием сахара, которую можно использовать в производстве бумаги и строительным материалов, а также в качестве топлива для тепловых электростанций.

Как можно избежать нестабильности в производстве сахара. Как производится сахар?

Какие проблемы могут возникнуть при нестабильном производстве сахара

Сильные заморозки, ударившие по России в начале мая, затронули и посевы сахарной свеклы — основной культуры для производства сахара в стране.

Заморозки повлияли на урожай сахарной свеклы, однако пока точно оценить потери невозможно, говорит ведущий эксперт Института конъюнктуры аграрного рынка (ИКАР) Евгений Иванов. Погибла часть полей от Брянска до Уфы, какие-то участки уже пересеяны свеклой, другие решили попробовать под другие культуры или даже оставили пустыми. «Рекордного производства сахара точно не будет», — комментирует эксперт.

 

По словам Иванова, потенциал производства и экспорта сахара в сезоне 2024/25 станет понятен лишь к концу июля, когда будут известны итоговые площади свеклы с учетом гибели и пересевов и появится информация по росту корня и сахаристости по сравнению с прошлыми годами. Скорее всего, полагает эксперт, экспорт 2024/25 будет существенно ниже высокого уровня 2023/24. Тогда Россия экспортировала более 900 000 т сахара — это второй в истории результат после рекорда сезона 2019/20 в 1,5 млн т.

Приведут ли заморозки к дефициту сахара? Собеседники Forbes считают, что нет. В 2023 году в России собрали 53,14 млн т сахарной свеклы, что на 8,6% больше показателя 2022 года (48,91 млн т), подсчитал руководитель проектов практики АПК консалтинговой компании Strategy Partners Вадим Аникин. Посевная площадь под культуру была увеличена на 3,5%, до 1,06 млн га.

 

«Производство сахара в России в 2023 году выросло на 9,9%, до 6,7 млн т, — отмечает гендиректор экспертно-аналитического центра агробизнеса «АБ-Центр» Алексей Плугов. — Рост выпуска продукции произошел в условиях сокращения сборов сахарной свеклы, а обусловлен он более высокой концентрацией сахара в свекле урожая 2023 года по сравнению с показателями 2022-го. В январе-марте 2024 года объемы производства возросли еще на 47%, до 692 000 т. Для января-марта это рекордное значение как минимум с 2012 года». В сезоне 2023/24, который завершится в июле, производство сахара может оказаться даже чуть больше 6,8 млн т, так как в межсезонье пять сахарных заводов перерабатывают сироп и мелассу (продукты переработки свеклы, из которых тоже делают сахар) из урожая 2023 года, полагает Иванов.

Как можно избежать нестабильности в производстве сахара

Производство сахара в России в этом сезоне, по оценкам Института конъюнктуры аграрного рынка (ИКАР), составит 5,6–5,7 млн тонн с учетом сиропа и мелассы – на 0,4–0,5 млн тонн больше, чем сезоном ранее. Такое количество соответствует уровню внутреннего потребления, которое, по оценкам ИКАР, составляет 5,6 млн тонн.

При этом, по данным , урожай сахарной свеклы в этом сельхозсезоне составил 41,2 млн тонн против 33,9 млн тонн годом ранее. Производители во многих регионах отмечают высокую урожайность агрокультуры при низкой дигестии (доли содержания сахара – прим. ред.). Так, урожайность сахарной свеклы в Концерне «Покровский», который работает в Краснодарском крае, в 2021-м составила 450-500 ц/га, что является неплохим показателем для региона, однако из-за высокой влажности и позднего срока сева, свекла не успела набрать сахар. «Мы получили среднюю дигестию по наших хозяйствам в 14%, что на 2–3% ниже среднемноголетних значений. В итоге при наших объемах производства мы недополучили около 40 тыс. тонн сахара», – рассказывает директор по развитию «Покровского» Михаил Пак.

В Поволжье ситуация с урожаем сахарной свеклы была более печальной, чем на юге. Гендиректор компании «Агросила» Светлана Барсукова на онлайн-встрече с журналистами, которая проходила в начале февраля, рассказывала, что в прошлом году в Татарстане, где находится перерабатывающий завод группы – «Заинский сахар», и где выращивается для него сырье, была аномальная жара и засуха. В результате чего сахарной свеклы на предприятии было собрано 640 тыс. тонн, что составило только 52% от плана. Это отразилось на выручке «Заинского сахара»: в 2021 году она составила 6 млрд рублей, или на 800 млн рублей меньше, чем в 2020-м.

Из-за высокой влажности содержание сахара в свекле свежего урожая ниже, чем годом ранее

Холдинг «Продимекс», хозяйства по выращиванию сахарной свеклы которого находятся в разных регионах страны, произвел в 2021 году более 1 млн тонн сахарной свеклы со средней урожайностью 520 ц/га. В пресс-службе компании отметили, что погодные условия в прошлом году были достаточно сложными: минимальное накопление влаги с осени, а также высокие летние температуры, достигавшие 40 градусов, не позволили в полной мере реализовать заложенный потенциал урожайности.

Какие факторы могут повлиять на нестабильность производства сахара

Это значительно меньше прошлогоднего уровня. Такой прогноз дают в Институте конъюнктуры аграрного рынка. Однако снижение производства сахара не повлияет на внутренний рынок из-за большого количества запасов

Как можно прогнозировать стабильность производства сахара. Все новости »

Фото: Антон Новодережкин/ТАСС

В России может снизиться производство сахара почти на 10%. Так, оно может составить чуть более 6 млн тонн. Причиной станет низкая урожайность сельхозкультуры на юге России, где сохраняется жаркая и засушливая погода, сообщил ТАСС генеральный директор Института конъюнктуры аграрного рынка Дмитрий Рылько.
Тем не менее снижение производства не приведет к дефициту и росту цен из-за прошлогодних запасов, уверен ведущий аналитик сайта Sugar.ru Вадим Гомоз:

Вадим Гомоз ведущий аналитик сайта Sugar.ru «Сахарный сезон — это начало переработки: с августа до июля следующего года. Что произошло у нас в сезоне, который только что закончился? У нас было перепроизводство. При внутреннем потреблении порядка 6 млн тонн мы произвели 6,8 млн тонн сахара. А в это время мировая цена в начале зимы поднялась очень высоко, и, соответственно, все страны рядом с РФ испытывали горячее желание купить российский сахар, который оказался даже дешевле, чем сахар-сырец, то есть полуфабрикат, который еще надо привезти, переработать и потом только из него получить белый сахар. То есть российский белый сахар был дешевле, чем мировой сахар-сырец. Это беспрецедентная ситуация, просто в мире вдруг цена поднялась, чтобы вы понимали, на Нью-Йоркской бирже он торгуется в центах за фунт, при обычной цене в 12-14 он стоил 28 центов за фунт. Соответственно, Россия в какой-то момент экспортировала очень большое количество сахара в соседние страны, и он даже в Афганистан шел, в Монголию шел, и куда только он не шел. В какой-то момент, когда стало понятно, что мы вывезем большой объем сахара, Минсельхоз ограничил экспорт сахара из России, оставив только страны Таможенного союза, чтобы не получилось так, что мы вывезем весь свой дешевый сахар, а потом к концу сезона нам не хватит, и мы должны будем покупать уже дорогой мировой. Ограничил он достаточно рано, то есть мы в новый сезон входим, вообще говоря, с переизбытком сахара. То есть у нас сахара несколько больше, чем обычно, — у нас где-то 200-300 тысяч тонн дополнительного сахара».